# 0199 二叉树的右视图
你好啊,我是蓝莓,今天是每日一题的第 57 天。
引用力扣题目:199 二叉树的右视图 (opens new window)
# 题目描述
给定一个二叉树的 根节点 root,想象自己站在它的右侧,按照从顶部到底部的顺序,返回从右侧所能看到的节点值。
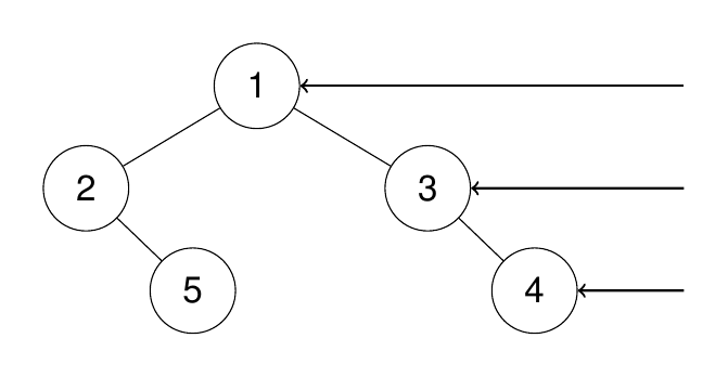
示例 1:
**输入:**root = [1,2,3,null,5,null,4]
输出:[1,3,4]
解释:

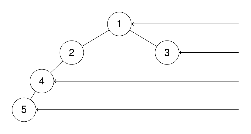
示例 2:
**输入:**root = [1,2,3,4,null,null,null,5]
输出:[1,3,4,5]
解释:

示例 3:
**输入:**root = [1,null,3]
输出:[1,3]
示例 4:
**输入:**root = []
输出:[]
提示:
- 二叉树的节点个数的范围是
[0,100] -100 <= Node.val <= 100
# 实现
思路
- 这个题目和 107 题目依然是相似的
- 当前题目的代码,直接沿用了 107 号题目的代码
- 我们依然是先按照正常的广度优先遍历的方式遍历二叉树
- 遍历完成后,我们去改变
res数组中某些层的顺序,从而满足题目的要求
C++ 代码实现
/**
* Definition for a binary tree node.
* struct TreeNode {
* int val;
* TreeNode *left;
* TreeNode *right;
* TreeNode() : val(0), left(nullptr), right(nullptr) {}
* TreeNode(int x) : val(x), left(nullptr), right(nullptr) {}
* TreeNode(int x, TreeNode *left, TreeNode *right) : val(x), left(left), right(right) {}
* };
*/
class Solution {
public:
vector<int> rightSideView(TreeNode* root) {
vector<vector<int>> res;
vector<int> view;
queue<TreeNode*> q;
if( root == nullptr ) {
return view;
}
int level = 0;
q.push(root);
while( !q.empty() ) {
int size = q.size();
res.push_back(vector<int>());
for( int i = 0 ; i < size ; i++ ) {
TreeNode* front = q.front();
q.pop();
if( front->left ) {
q.push(front->left);
}
if( front->right ) {
q.push(front->right);
}
res[level].push_back(front->val);
}
++level;
}
for( int i = 0 ; i < res.size() ; i++ ) {
view.push_back(res[i][res[i].size()-1]);
}
return view;
}
};
1
2
3
4
5
6
7
8
9
10
11
12
13
14
15
16
17
18
19
20
21
22
23
24
25
26
27
28
29
30
31
32
33
34
35
36
37
38
39
40
41
42
43
44
45
46
47
48
49
50
51
52
53
54
2
3
4
5
6
7
8
9
10
11
12
13
14
15
16
17
18
19
20
21
22
23
24
25
26
27
28
29
30
31
32
33
34
35
36
37
38
39
40
41
42
43
44
45
46
47
48
49
50
51
52
53
54