# 0092 反转链表 II
你好啊,我是蓝莓,今天是每日一题的第 34 天。
引用力扣题目:92 反转链表 II (opens new window)
# 题目描述
给你单链表的头指针 head 和两个整数 left 和 right ,其中 left <= right 。请你反转从位置 left 到位置 right 的链表节点,返回 反转后的链表 。
示例 1:

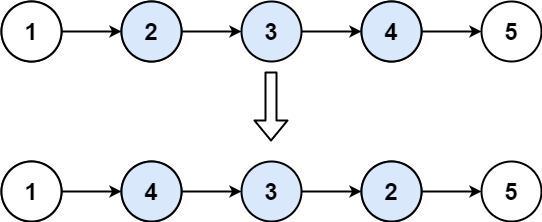
输入:head = [1,2,3,4,5], left = 2, right = 4
输出:[1,4,3,2,5]
1
2
2
示例 2:
输入:head = [5], left = 1, right = 1
输出:[5]
1
2
2
提示:
- 链表中节点数目为
n 1 <= n <= 500-500 <= Node.val <= 5001 <= left <= right <= n
进阶: 你可以使用一趟扫描完成反转吗?
# 实现
思路 1
- 比较简单的思路是,我们先遍历一遍链表来寻找几个关键的节点
- 然后再对中间部分的链表进行翻转,随后调整关键位置的指向
C++ 代码实现
/**
* Definition for singly-linked list.
* struct ListNode {
* int val;
* ListNode *next;
* ListNode() : val(0), next(nullptr) {}
* ListNode(int x) : val(x), next(nullptr) {}
* ListNode(int x, ListNode *next) : val(x), next(next) {}
* };
*/
class Solution {
public:
ListNode* reverseBetween(ListNode* head, int left, int right) {
ListNode* dummyHead = new ListNode(-1, head);
// 找到 left 和 right 代表的节点
ListNode* leftPre = nullptr; // left 的前一个节点
ListNode* leftNode = nullptr; // left 节点
ListNode* rightNode = nullptr; // right 节点
ListNode* rightNext = nullptr; // right 后一个节点
ListNode* pre = dummyHead; // 遍历过程中的前一个节点
ListNode* cur = head; // 遍历过程中的后一个节点
// 寻找节点
int counter = 1;
while( cur != nullptr ) {
if( counter == left ) {
leftPre = pre;
leftNode = cur;
}
if( counter == right ) {
rightNode = cur;
rightNext = cur->next;
}
pre = cur;
cur = cur->next;
counter++;
}
cur = leftNode;
pre = leftPre;
// 翻转链表
while( cur != rightNext ) {
ListNode* next = cur->next;
cur->next = pre;
pre = cur;
cur = next;
}
// 调整翻转后的中间部分的链表指向关系
leftNode->next = rightNext;
leftPre->next = rightNode;
return dummyHead->next;
}
};
1
2
3
4
5
6
7
8
9
10
11
12
13
14
15
16
17
18
19
20
21
22
23
24
25
26
27
28
29
30
31
32
33
34
35
36
37
38
39
40
41
42
43
44
45
46
47
48
49
50
51
52
53
54
55
56
57
58
59
60
2
3
4
5
6
7
8
9
10
11
12
13
14
15
16
17
18
19
20
21
22
23
24
25
26
27
28
29
30
31
32
33
34
35
36
37
38
39
40
41
42
43
44
45
46
47
48
49
50
51
52
53
54
55
56
57
58
59
60
思路 2
- 在第一种方法中,我们遍历了两次链表才把问题解决
- 其实核心问题是要确定,在什么范围内才翻转链表?
- 根据题目描述,我们要在给定的范围内才需要对链表进行翻转
- 那就是这样的一个范围
counter >= left && counter <= right; 其中counter代表当前是第几个节点
C++ 代码实现
/**
* Definition for singly-linked list.
* struct ListNode {
* int val;
* ListNode *next;
* ListNode() : val(0), next(nullptr) {}
* ListNode(int x) : val(x), next(nullptr) {}
* ListNode(int x, ListNode *next) : val(x), next(next) {}
* };
*/
class Solution {
public:
ListNode* reverseBetween(ListNode* head, int left, int right) {
ListNode* dummyHead = new ListNode(-1, head);
// 找到 left 和 right 代表的节点
ListNode* leftPre = nullptr; // left 的前一个节点
ListNode* leftNode = nullptr; // left 节点
ListNode* rightNode = nullptr; // right 节点
ListNode* rightNext = nullptr; // right 后一个节点
ListNode* pre = dummyHead; // 遍历过程中的前一个节点
ListNode* cur = head; // 遍历过程中的后一个节点
int counter = 1;
while( cur != nullptr ) {
ListNode* next = cur->next;
if( counter == left ) {
leftPre = pre;
leftNode = cur;
}
if( counter == right ) {
rightNode = cur;
rightNext = next;
}
// 如果在给定范围内 那就翻转链表
if( counter >= left && counter <= right ) {
cur->next = pre;
}
// 移动到下一个节点
pre = cur;
cur = next;
counter++;
}
// 调整指针的指向
leftPre->next = rightNode;
leftNode->next = rightNext;
return dummyHead->next;
}
};
1
2
3
4
5
6
7
8
9
10
11
12
13
14
15
16
17
18
19
20
21
22
23
24
25
26
27
28
29
30
31
32
33
34
35
36
37
38
39
40
41
42
43
44
45
46
47
48
49
50
51
52
53
54
55
56
2
3
4
5
6
7
8
9
10
11
12
13
14
15
16
17
18
19
20
21
22
23
24
25
26
27
28
29
30
31
32
33
34
35
36
37
38
39
40
41
42
43
44
45
46
47
48
49
50
51
52
53
54
55
56