# 0025 K 个一组翻转链表
你好啊,我是蓝莓,今天是每日一题的第 44 天。
引用力扣题目:25 K 个一组翻转链表 (opens new window)
# 题目描述
给你链表的头节点 head ,每 k 个节点一组进行翻转,请你返回修改后的链表。
k 是一个正整数,它的值小于或等于链表的长度。如果节点总数不是 k 的整数倍,那么请将最后剩余的节点保持原有顺序。
你不能只是单纯的改变节点内部的值,而是需要实际进行节点交换。
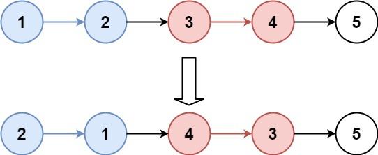
示例 1:

输入:head = [1,2,3,4,5], k = 2
输出:[2,1,4,3,5]
1
2
2
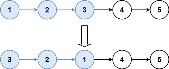
示例 2:

输入:head = [1,2,3,4,5], k = 3
输出:[3,2,1,4,5]
1
2
2
提示:
- 链表中的节点数目为
n 1 <= k <= n <= 50000 <= Node.val <= 1000
**进阶:**你可以设计一个只用 O(1) 额外内存空间的算法解决此问题吗?
# 实现
思路
- 同样是翻转链表,只是这次是以 k 个节点为一组进行翻转
- 在我们翻转一整个链表的时候,我们预先已经知道的信息是
头结点、尾节点的下一个节点 nullptr - 在我们知道了这两个节点后,我们就可以创建一个
虚拟节点来简化代码的逻辑 - 但是每个以 k 个为一组的节点的头结点,我们是不知道的,所以我们最重要的任务其实是找到每一组的
头结点和尾节点的下一个节点,那么剩下的代码逻辑就可以直接复用之前写过的逻辑了 - 关于寻找 k 个节点为一组的头节点是很简单的,第一组的头结点就是整个链表的头节点
- 我们使用
cur指针,让cur向后移动k次,那么cur指向的就是第一组的 ``尾节点的下一个节点,并且此时的cur` 也是第二组的头节点 - 还有重要的一点是,我们该如何检查是不是能够凑出
k个节点呢?比如你看题目中的最后两个节点无法凑出3个节点为一组的情况是不需要反转的,在这里我有两个方法 - (1)就像代码里写的那样,如果我们在向后移动
k次的过程中,循环都没执行完 ,cur就已经指向nullptr了,这说明肯定是凑不够了,已经没法再向后移动了 - (2)第二种情况,我们在执行循环的时候定义了一个变量
i,你可以把这个变量定义在循环的外部,这样,你可以在结束循环后检查一下变量i是不是刚好等于k?如果不等于的话,那说明是没有移动够k次就由于cur指向了nullptr而停了下来 - 最后我们只需要判断一下,如果凑够了
k个节点就直接复用以前的反转链表的逻辑就行了 - 如果没有凑够那一定是因为
cur指向了空,我们什么都不用做,整个算法也就结束了
C++ 代码实现
/**
* Definition for singly-linked list.
* struct ListNode {
* int val;
* ListNode *next;
* ListNode() : val(0), next(nullptr) {}
* ListNode(int x) : val(x), next(nullptr) {}
* ListNode(int x, ListNode *next) : val(x), next(next) {}
* };
*/
class Solution {
public:
ListNode* reverseKGroup(ListNode* head, int k) {
ListNode* dummyHead = new ListNode(-1, head);
// pre 指向需要反转的局部链表的头结点的前一个节点
ListNode* pre = dummyHead;
// 使用 cur 向后遍历 k 个节点 指向需要反转的局部链表的最后一个节点的下一个节点
ListNode* cur = head;
while( cur != nullptr ) {
bool ok = true; // 在寻找过程中 如果无法凑够 k 个节点则标记为 false
for( int i = 0 ; i < k ; i++ ) {
if( cur == nullptr ) {
// 无法再凑够 k 个了
ok = false;
break;
}
cur = cur->next;
}
// 如果凑够了 k 个节点那么就翻转它
if(ok) {
// 当前的头节点便是翻转后的尾节点
ListNode* newEnd = pre->next;
// 维护指针的指向
pre->next = reverseList(pre->next, cur);
// 让尾节点指向翻转前的尾节点的下一个节点
newEnd->next = cur;
// 那么反转后的尾节点就是 cur 的前一个节点
pre = newEnd;
}
}
cur = dummyHead->next;
delete dummyHead;
return cur;
}
ListNode* reverseList(ListNode* head, ListNode* end) {
// head 表示需要翻转的链表头节点
// end 表示需要翻转的链表的尾节点的下一个节点
// 返回值为翻转后的链表头结点
ListNode* dummyHead = new ListNode(-1, head);
ListNode* pre = dummyHead;
ListNode* cur = head;
while( cur != end ) {
ListNode* next = cur->next;
cur->next = pre;
pre = cur;
cur = next;
}
delete dummyHead;
return pre;
}
};
1
2
3
4
5
6
7
8
9
10
11
12
13
14
15
16
17
18
19
20
21
22
23
24
25
26
27
28
29
30
31
32
33
34
35
36
37
38
39
40
41
42
43
44
45
46
47
48
49
50
51
52
53
54
55
56
57
58
59
60
61
62
63
64
65
66
67
68
69
70
71
72
73
2
3
4
5
6
7
8
9
10
11
12
13
14
15
16
17
18
19
20
21
22
23
24
25
26
27
28
29
30
31
32
33
34
35
36
37
38
39
40
41
42
43
44
45
46
47
48
49
50
51
52
53
54
55
56
57
58
59
60
61
62
63
64
65
66
67
68
69
70
71
72
73