# 0203 移除链表元素
你好啊,我是蓝莓,今天是每日一题的第 40 天。
引用力扣题目:203 移除链表元素 (opens new window)
# 题目描述
给你一个链表的头节点 head 和一个整数 val ,请你删除链表中所有满足 Node.val == val 的节点,并返回 新的头节点 。
示例 1:

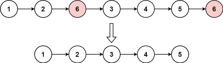
输入:head = [1,2,6,3,4,5,6], val = 6
输出:[1,2,3,4,5]
1
2
2
示例 2:
输入:head = [], val = 1
输出:[]
1
2
2
示例 3:
输入:head = [7,7,7,7], val = 7
输出:[]
1
2
2
提示:
- 列表中的节点数目在范围
[0, 104]内 1 <= Node.val <= 500 <= val <= 50
# 实现
思路
- 使用
pre指向当前正在遍历的前一个节点(为了逻辑上一致,使用了虚拟头结点的技巧) - 使用
cur遍历链表,分为两种情况 - (1)当前节点要删除,那么
pre不需要移动,只需要让cur移动一下即可 - (2)当前节点不需要删除,那么
pre和cur都向前移动一次
C++ 代码实现
/**
* Definition for singly-linked list.
* struct ListNode {
* int val;
* ListNode *next;
* ListNode() : val(0), next(nullptr) {}
* ListNode(int x) : val(x), next(nullptr) {}
* ListNode(int x, ListNode *next) : val(x), next(next) {}
* };
*/
class Solution {
public:
ListNode* removeElements(ListNode* head, int val) {
ListNode* dummy = new ListNode(-1, head);
ListNode* pre = dummy;
ListNode* cur = head;
while( cur != nullptr ) {
if( cur->val == val ) {
pre->next = cur->next;
cur = pre->next;
} else {
pre = cur;
cur = cur->next;
}
}
return dummy->next;
}
};
1
2
3
4
5
6
7
8
9
10
11
12
13
14
15
16
17
18
19
20
21
22
23
24
25
26
27
28
29
30
31
2
3
4
5
6
7
8
9
10
11
12
13
14
15
16
17
18
19
20
21
22
23
24
25
26
27
28
29
30
31