# 0083 删除排序链表中的重复元素
你好啊,我是蓝莓,今天是每日一题的第 35 天。
引用力扣题目:83 删除排序链表中的重复元素 (opens new window)
# 题目描述
给定一个已排序的链表的头 head , 删除所有重复的元素,使每个元素只出现一次 。返回 已排序的链表 。
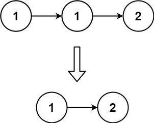
示例 1:

输入:head = [1,1,2]
输出:[1,2]
1
2
2
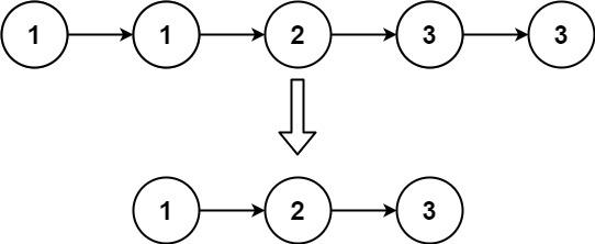
示例 2:

输入:head = [1,1,2,3,3]
输出:[1,2,3]
1
2
2
提示:
- 链表中节点数目在范围
[0, 300]内 -100 <= Node.val <= 100- 题目数据保证链表已经按升序 排列
# 实现
思路
- 题目已经保证了链表中存储的元素是按照升序排列的
- (1)使用
pre指向当前遍历的节点的前一个 - (2)使用
cur只想当前正在遍历的节点,如果cur节点的值和pre节点的值是一样的,那么就从链表中删除cur节点,并修改pre节点的next指针,否则说明当前节点是不重复的
C++ 代码实现
/**
* Definition for singly-linked list.
* struct ListNode {
* int val;
* ListNode *next;
* ListNode() : val(0), next(nullptr) {}
* ListNode(int x) : val(x), next(nullptr) {}
* ListNode(int x, ListNode *next) : val(x), next(next) {}
* };
*/
class Solution {
public:
ListNode* deleteDuplicates(ListNode* head) {
if( head == nullptr ) {
return head;
}
ListNode* pre = head;
ListNode* cur = head->next;
while( cur != nullptr ) {
if( pre->val == cur->val ) {
pre->next = cur->next;
cur = pre->next;
} else {
pre = cur;
cur = cur->next;
}
}
return head;
}
};
1
2
3
4
5
6
7
8
9
10
11
12
13
14
15
16
17
18
19
20
21
22
23
24
25
26
27
28
29
30
31
32
33
34
2
3
4
5
6
7
8
9
10
11
12
13
14
15
16
17
18
19
20
21
22
23
24
25
26
27
28
29
30
31
32
33
34