# 0147 对链表进行插入排序
你好啊,我是蓝莓,今天是每日一题的第 45 天。
引用力扣题目:147 对链表进行插入排序 (opens new window)
# 题目描述
给定单个链表的头 head ,使用 插入排序 对链表进行排序,并返回 排序后链表的头 。
插入排序 算法的步骤:
- 插入排序是迭代的,每次只移动一个元素,直到所有元素可以形成一个有序的输出列表。
- 每次迭代中,插入排序只从输入数据中移除一个待排序的元素,找到它在序列中适当的位置,并将其插入。
- 重复直到所有输入数据插入完为止。
下面是插入排序算法的一个图形示例。部分排序的列表(黑色)最初只包含列表中的第一个元素。每次迭代时,从输入数据中删除一个元素(红色),并就地插入已排序的列表中。
对链表进行插入排序。

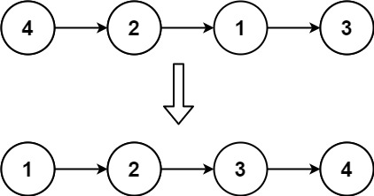
示例 1:

输入: head = [4,2,1,3]
输出: [1,2,3,4]
1
2
2
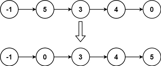
示例 2:

输入: head = [-1,5,3,4,0]
输出: [-1,0,3,4,5]
1
2
2
提示:
- 列表中的节点数在
[1, 5000]范围内 -5000 <= Node.val <= 5000
# 实现
思路
- 在数组上使用插入排序的时候,每次插入一个数值,我们都需要把插入点和后面的数值全部向后移动一个位置,然后空出来这个插入点的位置才能让我们插入
- 所以这主要还是一个链表的基础操作,就是插入一个节点
- 在寻找插入点的时候,我们可以注意这么两个条件(按照递增排序)
- (1)如果当前待插入节点的值大于等于当前遍历到的插入点的值,那么就继续向后遍历,否则停下来
- (2)如果当前遍历到的这个节点已经超出了排序完成的区间范围,那么就停下来(这一点可以通过:当前的节点的是不是当前待插入节点这一条件来判断)
- 好了,明确了以上两个问题我们再来看一下如何插入一个节点
- 我们要插入的这个节点本身就是链表中的,所以我们需要先把这个节点给取下来,这个过程就已经需要我们来维护当前节点的前一个节点的
next指针的指向了,所以我们需要一个pre来记录当前的节点cur的前一个节点是谁 - 那么,同时,我们还需要维护插入位置的前一个节点的指针的指向,为了减少变量的使用,我直接用一个
search来代表插入位置的前一个节点了,与此同时我们通过search->next也可以访问到当前需要比较大小的那个插入点位置的节点的val;当然了,你也可以再添加一个变量,或许用着方便一些 - 最后就是维护一下
cur指针指向的那个节点,如果我们需要将这个节点插入到一个为止,那么cur的next指针也需要维护一下
C++ 代码实现
/**
* Definition for singly-linked list.
* struct ListNode {
* int val;
* ListNode *next;
* ListNode() : val(0), next(nullptr) {}
* ListNode(int x) : val(x), next(nullptr) {}
* ListNode(int x, ListNode *next) : val(x), next(next) {}
* };
*/
class Solution {
public:
ListNode* insertionSortList(ListNode* head) {
ListNode* dummyHead = new ListNode(-1, head);
ListNode* pre = dummyHead;
ListNode* cur = head;
while( cur != nullptr ) {
// search 指向比较元素的前一个节点
ListNode* search = dummyHead;
while( cur->val >= search->next->val && search->next != cur ) {
search = search->next;
}
if( search->next != cur ) {
// 这时候执行插入逻辑
ListNode* searchNext = search->next;
ListNode* curNext = cur->next;
search->next = cur;
cur->next = searchNext;
pre->next = curNext; // pre 不需要移动
cur = pre->next; // 此时应该更新 cur
} else {
// 这说明应当插入在已经排序完成的所有节点的后面
// 那说明 cur 当前所处位置就是正确的 直接跳过即可
pre = cur;
cur = cur->next;
}
}
cur = dummyHead->next;
delete dummyHead;
return cur;
}
};
1
2
3
4
5
6
7
8
9
10
11
12
13
14
15
16
17
18
19
20
21
22
23
24
25
26
27
28
29
30
31
32
33
34
35
36
37
38
39
40
41
42
43
44
45
46
47
48
2
3
4
5
6
7
8
9
10
11
12
13
14
15
16
17
18
19
20
21
22
23
24
25
26
27
28
29
30
31
32
33
34
35
36
37
38
39
40
41
42
43
44
45
46
47
48